Barugh Lane, Great Barugh, YO17 | Guide Price £200,000


A unique development opportunity in Great Barugh for the construction of 2 x semi-detached properties. Planning approval was granted in July 2016...

A unique development opportunity in Great Barugh for the construction of 2 x semi-detached properties.

Planning approval was granted in July 2016 and the vendor has provided information to show that pre-start on site conditions have been satisfied with the local authority. All potential purchasers should satisfy themselves that appropriate permissions are in place.

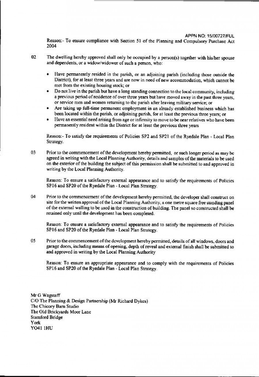
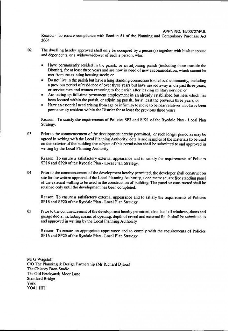
Please note that Condition 2 of the planning approval stipulates that a local occupancy clause in in force to satisfy Policies SP2 and SP 21 of the Ryedale Local Plan.